Performance validation for HORIBA Medical Yumizen H2500 and H1500 blood cell counters, components for HORIBA Evolutive Laboratory Organization (HELO) Solution, compared to the Sysmex XN-10

Click here to download the original poster (PDF)

1 Cécile Chabert, 1 Elise Darrambide, 1 Jean-Remy Gougaud, 2 Franck Seguy, 3 Bruce H Davis 1Clinical Quality, International Marketing and Scientific and Medical Affairs, HORIBA Medical, Montpellier, France

Abstract

Introduction: HORIBA Medical has released a new laboratory automation system for hematology testing, the HORIBA Evolutive Laboratory Organisation (HELO) system, which includes a new high throughput blood cell counters that offer CBC parameters, including routine nucleated RBC counts, fluorescence based reticulocyte analysis and optical extinction platelet counts and body fluid counting. Initial validation studies were performed to confirm performance specifications on precision, LOQ, linearity, precision and method comparisons to other blood counter models and microscopic leukocyte differential counts, which are reported here.

Methods: In excess of 1200 Fresh blood samples collected in K2 or K3 EDTA from patients and healthy controls were analyzed on Yumizen H1500 and H2500 instruments with P8000 workstations for method comparison to Pentra DX Nexus, Siemens Advia 2120, Sysmex XE-2100, Beckman Coulter DXH800 and Sysmex XN-10 instruments. Method comparison and bias estimation was performed according to CLSI EP09-A3. Statistical analysis was performed using Passing Bablok regression fit with Pearson’s r and Bland Altman difference plots. Precision, linearity and limit of detection were determined according to CLSI and ICSH guidelines.

Results: Precision in the low, normal and high ranges of all parameters was determined to be below the specifications for CV, including WBC <2%, RBC < 2%, HGB <1%, HCT <2%, PLT <5% (<10% below 30 x 10^9/L), comparable to Advia and Sysmex instruments. Linearity was confirmed for platelet counts between <10 – 5000 x 10^9/L, for RBC counts 0.22 – 8.95 x 10^12/L, for HGB 0.6 – 24.5 G/L, for HCT 1.8 – 69.7%, for WBC 0.3 – 406 x 10^9/L and for reticulocytes 0.043 – 1.244 x 10^9/L (H2500 model). The correlation of both Yumizen H1500 and H2500 models to Advia 2120, and Sysmex XE-2100 and XN-10 models exceeded manufacturing specifications with an r2> 0.90 for the parameters of WBC, RBC, HBG, HCT, MCV, PLT count and reticulocytes (H2500) for samples covering the full analytical measurement range. Platelet counts by impedance and optical extinction methods correlated at levels also r2> 0.95.

Conclusions: The Yumizen H1500 and H2500 instruments are as safe, as effective, and perform as well or better than the majority of instruments in the high end market segment of blood cell counters. The novel optical extinction platelet count performs as well or better than impedance counts. Similar validation studies are underway for other IVD parameters for the YH1500 and YH2500 instruments.

Background 

HORIBA Medical has released it’s HORIBA Evolution Laboratory Organisation (HELO) system, which provides full automation to the hematology laboratory. The high-throughput blood counters for this product line are the Yumizen H1500 and H2500 with a capacity of 120 samples per hour. The Yumizen H1500 instrument provides a CBC with full differential including nRBCs and body fluids. The Yumizen H2500 instrument provides a CBC with full differential including nRBCs and body fluids additionally offers fluorescence based (thiazole orange) reticulocyte analysis and optical extinction platelet counting. Both instruments can operate along with the P8000 middleware workstation as stand alone instruments or on the HELO track automation line. The Yumizen H2500 can be interfaced with a automated slide maker stainer, the SPS instrument. A full performance validation study was performed using multiple instruments at three testing sites (Montpellier, Nimes and Marseilles), which allowed method comparison studies involving HORIBA Pentra DX Nexus, Advia 2120, Sysmex XE2100, Sysmex XN 3000 and Beckman Coulter DXH800 instruments. This preliminary report summarizes the performance of these blood counter instruments from data submitted for the successful EU CE marking process. Currently the instruments are not cleared by the U.S. FDA.

Methods

Over 1,200 patient samples, as well as control material and linearity kits for platelets, RBCs, hematocrit and hemoglobin (R&D Systems, Minneapolis, MN USA), were selected in order to cover the entire analytical measurement range (AMR), limits of quantification (LOQ), limits of detection (LOD), limits of blank (LOB) and precisions (reproducibility and repeatability) at various levels for the measured parameters. 

Method comparison, precision, carry-over, interference testing and bias estimation was performed according to CLSI EP5-A2, CLSI EP09-A3, H44-A2 and H26-A2. Manual blood counts for arbitration purposes were performed according to CLSI H20-A2. Statistical Analysis included the use of Passing Bablok regression analysis and Bland Altman analysis of method differences and bias analysis.

Results

Figure 1: White cell matrix (left panel) for the cell differential counts for Yumizen H1500 and Yumizen H2500 display the populations of NRBC (A), Lymphocytes (B), “atypical” lymphocytes (C), monocytes (D), neutrophils (E) including “left-shifted” neutrophils (F), eosinophils (G), immature lymphocytes (H), immature monocytes (J) including “left-shifted” monocytes (I) and immature myeloid cells (K). The matrix display from the platelet optical extinction mode (right panel) plot the optical extinction (y-axis) vs; impedance (x-axis) and allows for improved separation of platelets (yellow, lower left box) and red cell cluster (red).

Table 1: Linearity and limit of quantification (LOQ) determined for Yumizen H1500 (excluding PLT-ox and reticulocyte parameters) and Yumizen H2500

Table 2: Total imprecision (bias + reproducibility CV) performance of Yumizen H2500 compared to previous generation Pentra DX Nexus based upon nalysis of 5 control blood samples run in duplicate twice daily over at least 20 days in each of low levels, normal levels and high levels. Samples were run in the standard DIFF mode and the new extended count mode for RBCs and optical extinction platelets (PLTox). The original performance specification are exceeded in all parameters and in all parameters, except MPV and high lymphocytes, the performance of the Yumizen H2500 equaled or exceded that of the Pentra DX Nexus.

Figure 2: Evaluation of the optical extinction platelet counting method (PLTox) versus the impedance count (PLTi) on Yumizen H2500 gives good correlation and no significant bias (left), also to the fluorescent platelet method on Sysmex XN3000 (PLT-F, right).

Table 2: Total imprecision (bias + reproducibility CV) performance of Yumizen H2500 compared to previous generation Pentra DX Nexus based upon nalysis of 5 control blood samples run in duplicate twice daily over at least 20 days in each of low levels, normal levels and high levels. Samples were run in the standard DIFF mode and the new extended count mode for RBCs and optical extinction platelets (PLTox). 

The original performance specification are exceeded in all parameters and in all parameters, except MPV and high lymphocytes, the performance of the Yumizen H2500 equaled or exceded that of the Pentra DX Nexus.

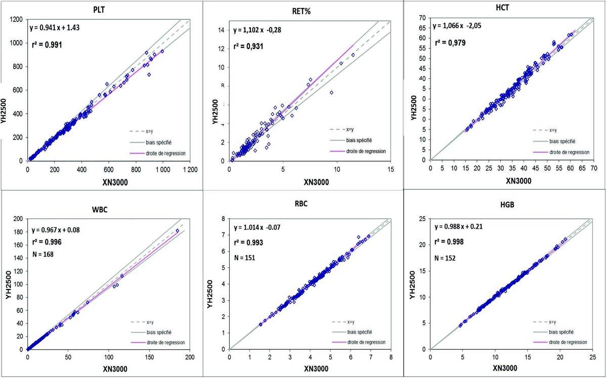
Table 3: Summary of Intermethod correlations using Passing Bablok regression of Yumizen H2500 compared to the XN-3000 all other instruments collected at all three sites and using over 1200 clinical samples covering the analytical measurement range for each measurand or parameter.

Figure 3: Intermethod correlations using Passing Bablok regression of Yumizen H2500 (Y axis) compared to Sysmex XN3000 (X axis) for platelet count (PLT); reticulocyte percentage (RET%), hematocrit (HCT), white blood count (WBC), red cell counts (RBC) and hemoglobin (HGB) shows comparable performance of the instruments.

Conclusions

  1. The performance between the Yumizen H1500 and Yumizen H2500 were found to be equivalent and exceeded specifications for all performance criteria defined prior to development. Excellent correlations where observed between all various modes of operation (rack vs STAT, CBC+DIFF, CBC+Retic, Low value or prolonged counting).
  2. The overall CBC and reticulocyte performance of the Yumizen H1500 and Yumizen H2500 were found to be equivalent or superior to the Sysmex XN3000.
  3. The new optical extinction method for platelet counting gave comparable performance to the standard impedance methods and the fluorescent platelet counting method of the Sysmex XN3000
  4. The utility of the new RBC Mic% and Mac% remains to be fully understood by future study.

 

Download PDF

Corporate