This study assesses the accuracy of Mean Corpuscular Hemoglobin Concentration (MCHC) measurements obtained from two automated hematology analyzers - Sysmex XN and HORIBA Yumizen H2500 - by comparing them to the gold standard micro-hematocrit derived MCHC method. The primary objective is to investigate discrepancies in MCHC values between these methodologies and to pinpoint potential sources of error within automated measurements. Findings indicate that the Sysmex XN analyzer tends to overestimate MCHC values, especially in samples with borderline or elevated MCHC. This overestimation is primarily attributed to the instrument’s underestimation of Mean Corpuscular Volume (MCV), directly affecting the calculated MCHC.
Mean Corpuscular Hemoglobin Concentration (MCHC) is an essential red blood cell index that plays a key role in diagnosing and classifying different types of anemia. Additionally, MCHC is widely used as a quality control parameter in hematology laboratories due to its tightly controlled physiological variation.
Ensuring the accuracy of MCHC measurements is vital, as most automated hematology analyzers calculate both hematocrit and MCHC based on the measured Mean Corpuscular Volume (MCV). Consequently, any errors in MCV determination can directly affect the reliability of MCHC results.
This study is designed to evaluate how different measurement methodologies influence MCHC estimation by directly comparing results from automated hematology analyzers with those obtained using the gold standard micro-hematocrit derived MCHC method.
Materials
Methodology
Figure 1: Hemoglobin and RBC correlation between Sysmex XN and HORIBA Yumizen H2500/H1500
Good correlation of RBC & Hb parameters within both instruments.
Figure 2: Correlation of HCT from both instruments
Sysmex XN is slightly under-calibrated, points are below the desired slope. HORIBA Yumizen H2500 points are well spread and correlate with micro-HCT method.
MCHC Distribution
Figure 3: MCHC Distribution of all Samples
The mean value is of MCHC higher in Sysmex XN, while precision is similar when compared to HORIBA Yumizen H2500.
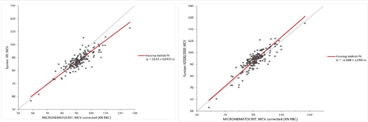
MCV Influence on MCHC
Figure 4: The distribution of Sysmex XN MCV is showing negative mean in comparison to HORIBA Yumizen H2500.
Figure 5: Sysmex XN’s slope confirms the under-estimation of MCV as MCV increases as compared to HORIBA Yumizen H2500.
Paulo Silva, Tânia Cardoso, Armindo Gonçalves, Anália Carmo, Nuno Silva
Clinical Pathology Department, ULS-Coimbra, Coimbra, Portugal
Do you have any questions or requests? Use this form to contact our specialists.




