
► Click here to download the original poster (PDF)
Paulo Silva, Tânia Cardoso, Armindo Gonçalves, Anália Carmo, Nuno Silva
Clinical Pathology Department, ULS-Coimbra, Coimbra, Portugal
The mean corpuscular hemoglobin concentration (MCHC) is a calculated value, that depends on mean corpuscular volume (MCV), red blood cells count (RBC), hemoglobin (Hb) and hematocrit (HCT). In automated hematology analyzers, different methods were developed to determine hematocrit contributing to differences in the MCHC. The aim of the study was to perform a randomized uncontrolled study to understand the impact of different automated hematology analyzer’s technologies on the MCHC and HCT determination when compared with the gold standard method.
176 blood samples were examined on two automated hematology analyzers: Sysmex -XN and HORIBA Yumizen H2500(YH). In parallel, the hematocrit was determined using the gold standard method based on the use of a capillary and centrifugation. Results were grouped according to the value of the MCHC determined in Sysmex: low < 32 ≤ normal < 35 ≤ borderline < 36.5 ≤ high. The correlations and variability of parameters responsible for MCHC estimation were evaluated statistically.
Considering the results from Sysmex, there were 26 samples with low MCHC, 36 with a normal value, 52 with a borderline value and 62 with a high MCHC. There was a good correlation between Sysmex and HORIBA Yumizen regarding the determination of RBC and Hb. The analysis showed that samples presented with a high value of MCHC in Sysmex, presented an underestimation of the HCT. In fact, considering the group with high MCHC, in Sysmex the mean value of MCHC was 37.1±0.06 g/dL and HCT 34.2±0.06%, and in HORIBA Yumizen MCHC was 33.8±0.09 g/dL and HCT 33.8±0.09%. The use of the HCT value determined by the gold standard method (37.88±1.1%) showed that MCHC was 33.38±0.14 g/dL in Sysmex and 33.28±0.15 g/dL in HORIBA Yumizen. On the other hand, a similar behavior was observed with HORIBA Yumizen but for samples in low group MCHC without much clinical significance (delta of 0.91 in HCT of low MCHC group).
Figure 1: Hemoglobin (Hb), Red Blood Cell (RBC) correlation
Hemoglobin and RBC correlation
Good correlation of RBC & Hb parameters within both instruments.
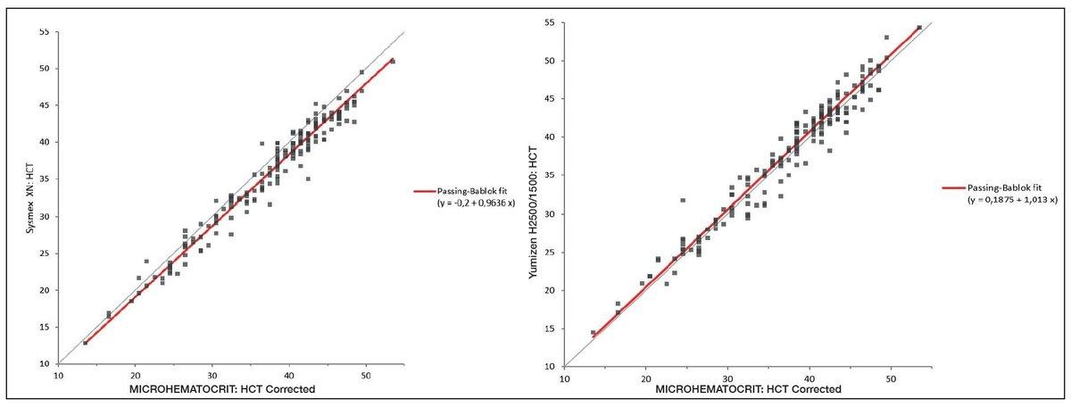
Figure 2: Hematocrit (HCT) correlation
Correlation of HCT from both instruments
Sysmex XN is slightly under-calibrated, points are below the desired slope. HORIBA Yumizen H points are well spread and correlate with micro-HCT method.
Figure3: MCHC Distribution of all Samples
The mean value is of MCHC higher in Sysmex XN, while precision is similar when compared to HORIBA Yumizen H2500.
The data analyzed showed that there was an underestimation of Hematocrit (HCT) as source of error in the calculation of MCHC, on Sysmex XN hematology analyzer.
This occurrence was more evident in borderline and high values of MCHC on Sysmex XN, whereas the impact was less significant observed in HORIBA Yumizen H2500 for low MCHC value group.
Do you have any questions or requests? Use this form to contact our specialists.


