Applications

Back to Particle Characterization Products Overview

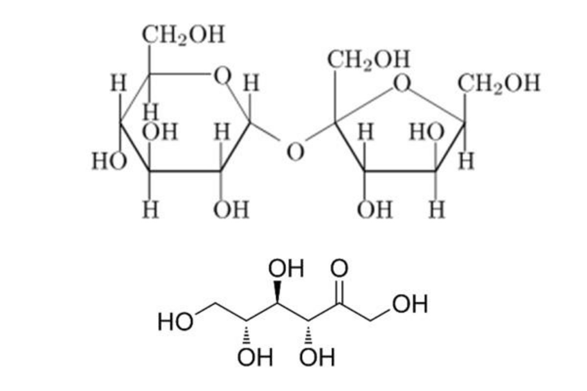
Investigating the Lower Size Limit of the nanoPartica SZ-100V2 with Sucrose and Allulose

Particle Characterization

Measuring nanoparticles below 10 nm is usually tricky for most particle size distribution analyzers, as the scattering signal from particles that small tend to be very low. Dynamic light scattering is usually the only particle sizing technique that can size particles that small, but the absolute lower limits of the technique is often not probed.

In this application note, the nanoPartica SZ-100V2 was used to measure sucrose solutions and allulose solutions to investigate the lower size limit of the instrument using the Nano Analysis Mode.

Application Downloads

Related Products

nanoPartica SZ-100V2 Series
nanoPartica SZ-100V2 Series

Analyseur de nanoparticules

Demande d'informations

Vous avez des questions ou des demandes ? Utilisez ce formulaire pour contacter nos spécialistes.

* Ces champs sont obligatoires.

Corporate