めっき・表面処理
表面の酸化、界面の拡散、めっき中の不純物・添加物、変色・偏析の要因など評価・解析に用いられています。
熱処理
試料最表面に堆積物層が、その下に窒素濃化層(ステンレス鋼に窒素が過飽和に固溶したS 相)が形成されていることがわかります。
関西大学化学生命工学部 教授西本明生先生ご提供データ
水素脆化
水素環境下で熱処理したTi材では、材料内部、数10 μmの深さまで、水素が入り込んでいることを確認できました。水素吸蔵合金などの評価にご活用いただけます。
マルチマテリアル
アルミ材料の性質を左右するボロンや窒素などの含有元素をわずか数分で100μmの深さまで迅速な分析ができました。
薄膜評価
半導体用電極や磁性膜をはじめ、各種多層膜の膜厚・拡散・界面状態などの評価・解析に用いられています。
めっき・熱処理品のベーキング前後の水素、DLC中水素などの評価・解析に用いられています。
化合物半導体
GaAs系、GaN系など、MOCVDによる成膜工程における組成・膜厚の評価機として活用されています。
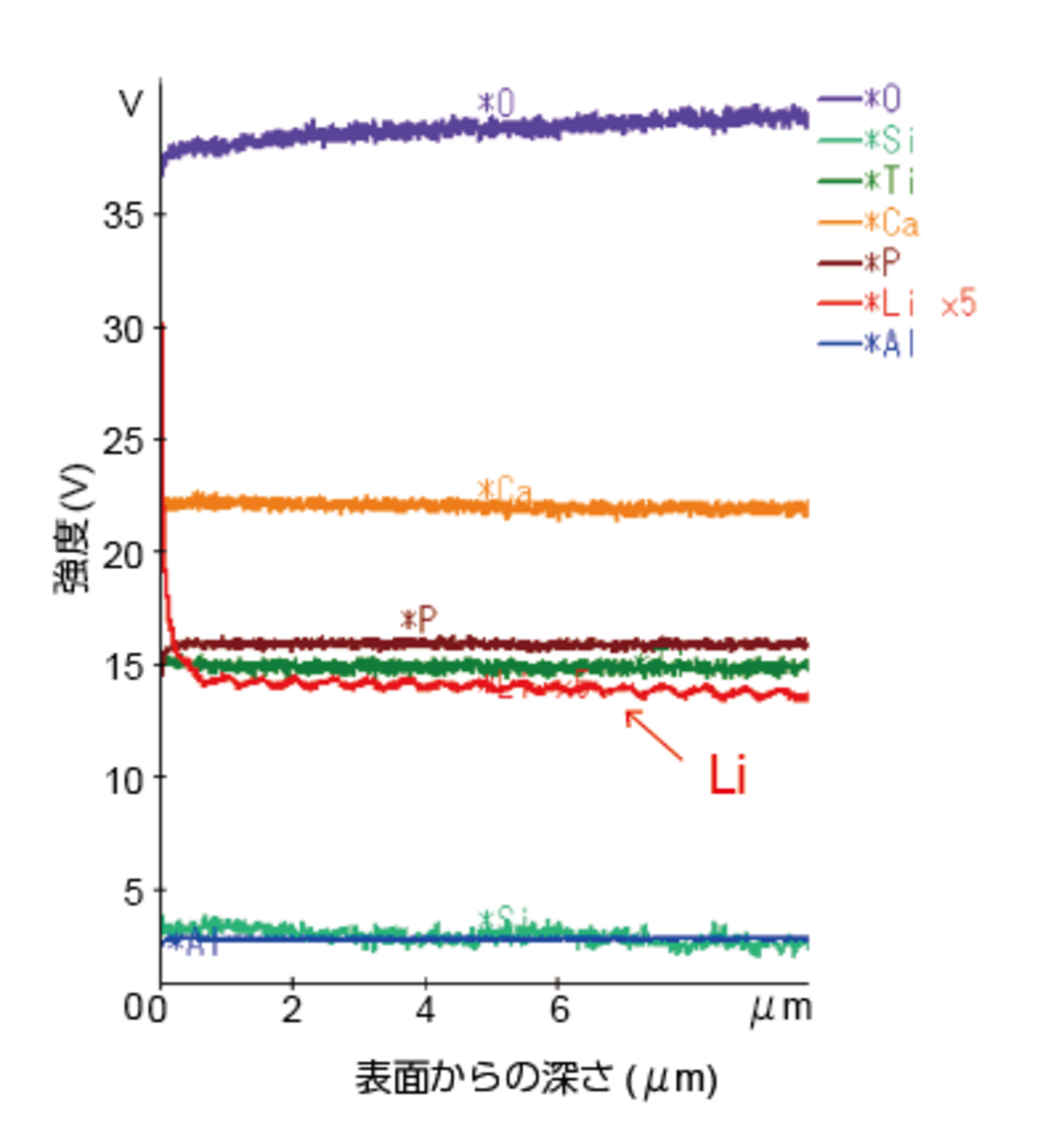
全固体電池
軽元素の分析ができるrf-GE-OESの特長を活かし、Liの評価に活用されています。Liなどのイオン化しやすい元素も安定した分析が可能です。
液体リチウムイオン電池
深さ方向の元素分析により、溶出した正極活物質の負極への影響を推定し、劣化解析などに活用されています。
マーカス型高周波グロー放電発光表面分析装置(GDS)
