さまざまな分野で身近に普及しているリチウムイオン電池や、次世代電池として期待されている全固体電池の研究開発では、より高品質・高性能を目指し、新たな分析・評価技術が求められています。 HORIBAは、電池材料の研究開発から生産管理、電池性能評価、電動車両開発支援まで、トータルの分析・計測ソリューションを提案しています。電池性能評価は、小型電池(単セル)から大型電池(電池モジュール/電池パック)まで幅広い電池の評価が可能です。
材料分析
スラリー状試料のミキサー前後の分散状態を、高濃度セルを使った粒子径分布測定とラマン分光分析で比較しました。 高濃度セルでは、全体の粒子サイズの変化を、ラマン分光分析ではμmオーダで各成分の挙動が観察できます。
試料の混錬の違いにより、粒子径分布に差があることがわかりました。 高濃度セルを使えば、溶媒希釈による試料濃度で調節していた透過率を、光路長で調整することにより、高濃度試料でも希釈率を最小限で測定することができます。
ラマン分光法なら各成分の分散状態が可視化でき、さらに粒子解析ソフトウェアParticleFinderを使うと一粒子ごとに粒子径を自動測定できるため、ミキサー前後で数値による比較も可能です。
【粒度分布】レーザ回折/散乱式粒子径分布測定装置 LA-960シリーズ
ラマンイメージング装置
ラマン用粒子解析ソフトウェア
炭素・硫黄分析装置EMIA-Expertでは、正極材料中の炭素濃度をppmレベルで管理できます。
また、電池の寿命や容量低下に影響する硫黄濃度も高精度に管理できます。
| 試料質量 | 炭素(mass%) |
| 0.3059 | 0.0200 |
| 0.3061 | 0.0201 |
| 0.3055 | 0.0199 |
| 0.3057 | 0.0198 |
| 0.3059 | 0.0197 |
| 平均値 | 0.0199 |
| 標準偏差 | 0.0002 |
| 変動係数(%) | 0.79 |
参考)LiCoO₂中の炭素濃度分析
![]() |
|
炭素・硫黄分析装置(高周波誘導加熱方式)
炭素・硫黄分析装置(管状電気抵抗加熱炉方式)
分散評価
混錬前はカーボンの凝集物と活物質の2つあった分布のピークが、混錬によって1つのピークになったことが確認できました。 この結果により、導電材であるカーボンの凝集がほぐれ、NCMのカーボンによる被膜が安定したと考えられます。
遠心式ナノ粒子解析装置
粒子分散ユニットは、試料台への粉末分散を容易にし、分析の効率化に貢献します。 人的誤差なく、簡単操作で瞬時に粉末粒子の分散が可能です。 ラマン分光分析やX線分析と組み合わせることにより一粒子単位での分子構造・成分分析が可能になります。
Particle Disperser
硫化物を用いた固体電解質は、その材料の高い導電率、加工のしやすさから全固体電池の固体電解質として注目されています。その硫化物ガラスは複数の構造を持つことが知 られており、ラマン分光分析なら目的の組成に対応する構造を取っているか、容易に識別が可能です。
![]() |
|
無機・有機化合物の分子構造や結晶性の違いを確認でき、光学顕微鏡で観察しながら、非破壊・非接触で電池材料の結晶構造や分子構造の分析が行えます。
顕微ラマン分光測定装置
劣化解析・異物検査
負極の劣化原因のひとつに溶出した正極物質の負極への影響が考えられます。 表面から集電箔までの全体と表面付近の拡大した元素プロファイルの取得をすることで、負極表面の劣化原因となる正極からの溶出物質である Mn や添加物成分から分解したと推定される S が多量に検出されました。 負極表面には SEI の主成分である C や Li の他に、正極から溶出したと推定される Mn や添加剤が分解付着したと考えられる S が多量に検出されました。
マーカス型高周波グロー放電発光表面分析装置(GDS)
電池容量の改善について、活物質粒子表面に電解質を均一にコーティング処理をすることが有効であることが明らかになっています。 コーティング膜は薄く、粒子ごとに状態が異なるため、その状態を観察することは困難ですが、ラマン分光分析と粒子解析ソフトウェアを使用することで、一粒子ごとのラマン測定が可能になります。 各粒子のコーティング状態を可視化することはもちろん、粒子の自動認識機能を使った分析や、粒子径・形状情報の相関についても解析できます。
ラマン用粒子解析ソフトウェア
電極中の異物は製品不具合を引き起こすため、数十μm程度の大きさのものを詳細に分析する必要があります。 XGT-9000では、その異物の元素、形状などを大気圧下で詳細に分析可能です。
![]() |
|
微小部X線分析装置 (X線分析顕微鏡)
生産ラインでの硫化物の反応を防ぐため、ドライ環境下で H₂Sガスの計測が必要です。硫化水素濃度測定装置は、H₂S を酸化させ、発生したSO₂を分析することにより、H₂S濃度を 測定できます。
硫化水素(H2S)濃度測定装置
ラマン分光分析では、無機・有機化合物の分子構造や結晶性の違いを確認でき、光学顕微鏡で観察しながら、非破壊・ 非接触で結晶構造や分子構造の分析を行うことができます。ラマン分光分析でイメージングすることで、結晶構造を可視化し、劣化による電解質の変化を捉えることができます。
無機・有機化合物の分子構造や結晶性の違いを確認でき、光学顕微鏡で観察しながら、非破壊・非接触で電池材料の結晶構造や分子構造の分析が行えます。
顕微ラマン分光測定装置
硫化物系(Na2.88Sb0.88W0.12S4)固体電解質のラマンスペクトルの変化から、加熱後1.5/12時間後の電解質の 構造の変化とWS4が時間経過とともに増加することが確認できました。
![]() |
|
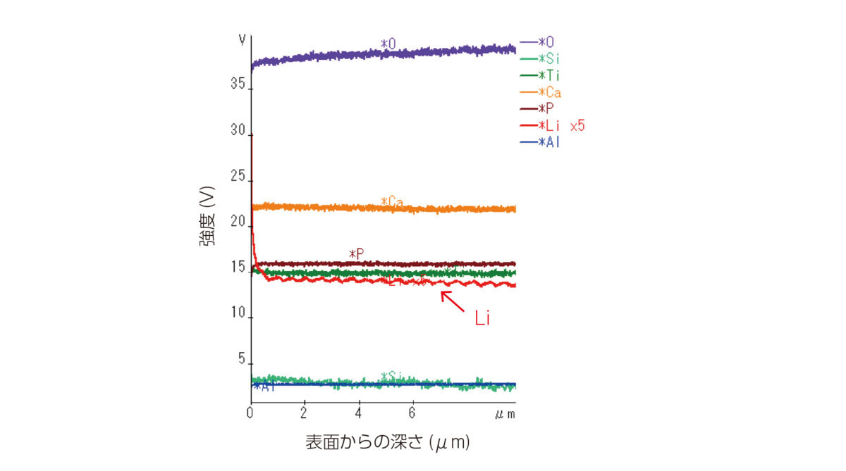
固体電解質中のLi分布を深さ方向に元素分析することで、リチウムが固体電解質表面に偏析していることがわかりました。 GD-Profiler2は、測定時の熱ダメージ低減機能により、Liなどのイオン化しやすい元素も安定した分析が可能です。
![]() |
|
X線スペクトル分析結果からも、負極表面において、正極から溶出したと考えられる、Mn と添加剤の分解成分と考えられる S が検出されました。
左:電池の劣化により正極活物質中から溶出したと考えられるMnが負極全体に付着している様子が観察されました。
右:添加剤成分から分解したと推定されるSが、比較的高温になる電極端子部とエッジ部に偏在して付着している様子が観察されました。
前処理なし、非破壊で簡単元素分析。微小な観察点も高精度な光学観察で測定ポイントに迅速アクセス。光学像・蛍光X線マッピング像・透過X線像による観察と分析がこれ一台で完結します。
微小部X線分析装置 (X線分析顕微鏡)
硫黄を含有している固体試料の酸素分析は、試料中のSと黒鉛るつぼ中のCが反応し、酸素の定量が困難でしたが、硫黄除去トラップ付きEMGA-930なら硫化物中の酸素測定が可能です。
![]() |
|
酸素・窒素・水素分析装置
高い安全性が求められるリチウムイオン電池は、さまざまな安全性試験が行われています。 例えば自動車の開発段階において、車載用リチウムイオン電池の釘刺し試験で発生したCOガスの車内流入がないかを測定し、安全性評価に貢献しています。 また、電池開発の加熱試験で発生するCOやCO₂などのガス濃度を、リアルタイムに測定できます。
ポータブルガス分析計

















